Materials

26.2. Materials#

The connection between the anchor and the floater can consist of a single type or multiple types of segments of a certain material. These can be;

  1. Studlink or studless steel chains.

  2. Steel wire ropes

  3. Synthetic wire ropes

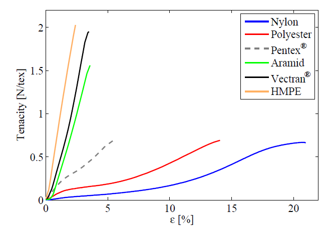
../../../../_images/image21.png

Looking a bit more into detail, the top figure shows the tenacity of the wire rope in strength per unit weight or TEX versus the elasticity. Polyester and Nylon have a lower strength modulus and stretch more, which can have a purpose in mooring applications. On the other hand, the newer HMPE has steel equivalent strength and a lot more stiffness. But still these materials are a lot lighter and are near neutral in water.

This chapter dives deeper into these materials.